Projects

Personal projects and explorations

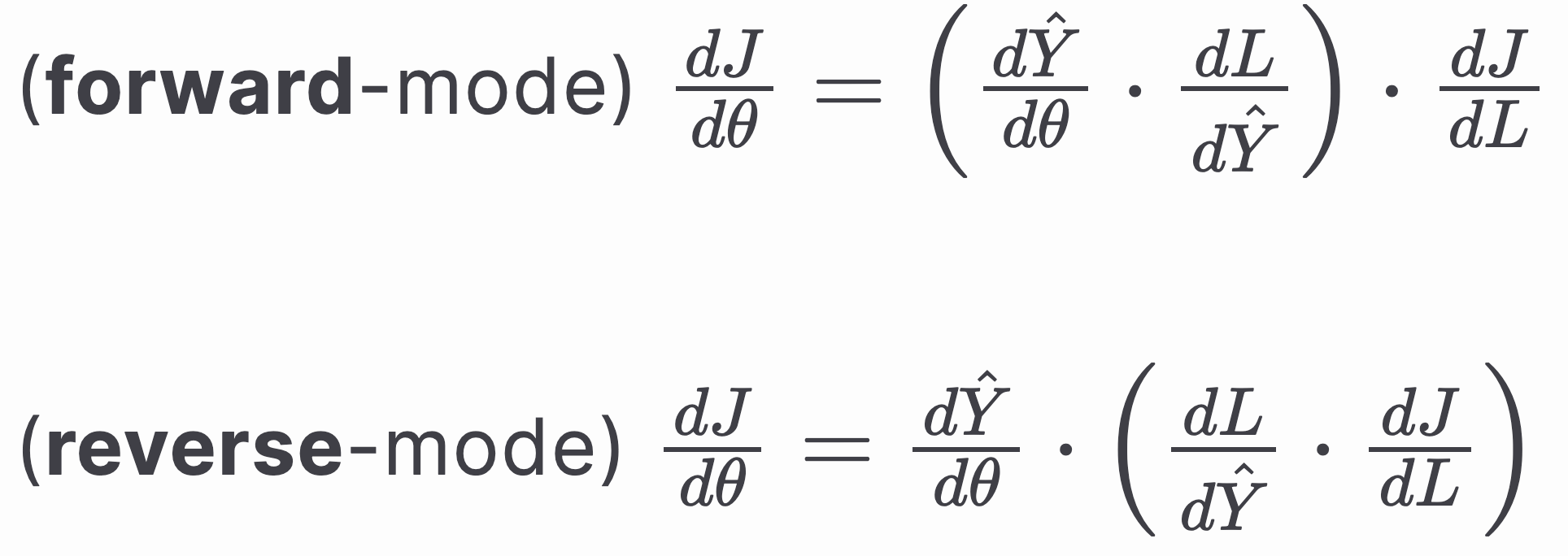
Automatic Differentiation

2019

A proof of concept implementation of automatic differentiation from scratch, exploring the core concepts behind modern deep learning frameworks. Includes a detailed presentation explaining the mathematical foundations and implementation details.

Python Automatic Differentiation Deep Learning
Computational graph diagram 1 Computational graph diagram 2

Language Modeling

2018

A talk covering language modeling approaches: statistical Markov models, neural Markov models, and RNNs/LSTMs. From the pre-transformers era, focusing on n-gram based methods.

NLP Language Modeling Neural Networks
RNN language model diagram

8-bit Computer in Logisim

2016

Built a simulation of an Unlimited Register Machine using logic gates in Logisim. Implemented both Harvard (separate ROM and RAM) and von Neumann (shared RAM) architectures, exploring fundamental computer architecture concepts from first principles.

Computer Architecture Logic Gates Logisim
8-bit computer architecture diagram